题目内容

正项数列{an}中,前n项和为Sn,且a1=2,且

(1)求数列{an}的通项公式;

(2)设,Tn=b1+b2+…+bn,证明

考点:

数列递推式;等差数列的通项公式;数列的求和.

专题:

综合题;等差数列与等比数列.

分析:

(1)根据an=Sn﹣Sn﹣1消掉所给等式中的an,变为Sn与Sn﹣1的递推式,通过变形可判断是首项为公差为的等差数列,从而可求Sn,再代入可求得an,注意验证n=1是否成立.

(2)由(1)表示出bn,利用错位相减法可求得Tn,根据其表达式易证Tn<7,再判断{Tn}单调性,由单调性可证得Tn

解答:

(1)解:由,得

是首项为公差为的等差数列,∴,∴

,对n=1也成立,

∴an=4n﹣2;

(2)证明:

两式相减,得=

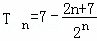
所以

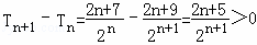
下面证明

,∴Tn+1>Tn,∴{Tn}单调递增,

点评:

本题考查数列递推式、等差数列通项公式及数列求和,若{an}为等差数列,{bn}为等比数列,则{anbn}的前n项和宜用错位相减法求解.

 

练习册系列答案
相关题目

违法和不良信息举报电话:027-86699610 举报邮箱:58377363@163.com

精英家教网