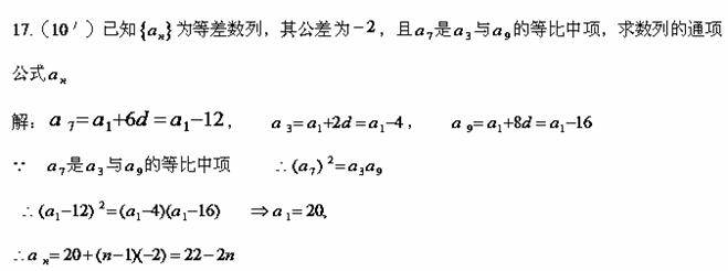
题目内容
已知
为等差数列,其公差为
,且
是
与
的等比中项,求数列的通项公式![]()
练习册系列答案
相关题目
已知{an}为等差数列,其公差为-2,且a7是a3与a9的等比中项,Sn为{an}的前n项和,n∈N*,则S10的值为( )
| A、-110 | B、-90 | C、90 | D、110 |
题目内容
已知
为等差数列,其公差为
,且
是
与
的等比中项,求数列的通项公式![]()
| A、-110 | B、-90 | C、90 | D、110 |