题目内容
已知数列{an}中,a1=2,2an-an-1-1=0(n≥2),
(1)判断数列{an-1}是否为等比数列?并说明理由;
(2)求an。
(1)判断数列{an-1}是否为等比数列?并说明理由;
(2)求an。
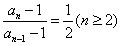
解:(1)由
,得
,
∴
,
∴
,
又
,
∴数列{an-1}是以1为首项,以
为公比的等比数列。
(2)由(1)知,
,
∴
。
∴
∴
又
∴数列{an-1}是以1为首项,以
(2)由(1)知,
∴
练习册系列答案
相关题目
已知数列{an}中,a1=1,2nan+1=(n+1)an,则数列{an}的通项公式为( )
A、
| ||
B、
| ||
C、
| ||
D、
|