题目内容
函数f(x)的定义域为A,若x1,x2∈A且f(x1)=f(x2)时总有x1=x2,则称f(x)为单函数,例如,函数f(x)=2x+1(x∈R)是单函数.下列命题:①函数f(x)=x2(x∈R)是单函数;
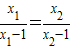
②函数
③若f(x)为单函数,x1,x2∈A且x1≠x2,,则f(x1)≠f(x2);
④在定义域上具有单调性的函数一定是单函数.
其中的真命题是 .(写出所有真命题的编号)
【答案】分析:由题意单函数的实质是一对一的映射,而单调的函数也是一对一的映射,据此可逐个判断.
解答:解:①函数f(x)=x2(x∈R)不是单函数,例如f(1)=f(-1),显然不会有1和-1相等,故为假命题;
②函数
是单函数,因为若
,可推出x1x2-x2=x1x2-x1,即x1=x2,故为真命题;
③若f(x)为单函数,x1,x2∈A且x1≠x2,,则f(x1)≠f(x2)为真,
可用反证法证明:假设f(x1)=f(x2),则按定义应有x1=x2,与已知中的x1≠x2矛盾;
④在定义域上具有单调性的函数一定是单函数为真,因为单函数的实质是一对一的映射,而单调的函数也是,故为真.
故答案为②③④.
点评:本题为新定义,准确理解单函数并把它跟已知函数的性质联系起来是解决问题的关键,属基础题.
解答:解:①函数f(x)=x2(x∈R)不是单函数,例如f(1)=f(-1),显然不会有1和-1相等,故为假命题;
②函数
③若f(x)为单函数,x1,x2∈A且x1≠x2,,则f(x1)≠f(x2)为真,
可用反证法证明:假设f(x1)=f(x2),则按定义应有x1=x2,与已知中的x1≠x2矛盾;
④在定义域上具有单调性的函数一定是单函数为真,因为单函数的实质是一对一的映射,而单调的函数也是,故为真.
故答案为②③④.
点评:本题为新定义,准确理解单函数并把它跟已知函数的性质联系起来是解决问题的关键,属基础题.
练习册系列答案
相关题目
若函数f(x)的定义域为[-1,2],则函数
的定义域为( )
| f(x+2) |
| x |
| A、[-1,0)∪(0,2] |
| B、[-3,0) |
| C、[1,4] |
| D、(0,2] |