题目内容
(1)求椭圆C的方程;
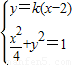
(2)如图,A,B,D是椭圆C的顶点,P是椭圆C上除顶点外的任意点,直线DP交x轴于点N直线AD交BP于点M,设BP的斜率为k,MN的斜率为m,证明2m-k为定值.
【答案】分析:(1)由题目给出的离心率及a+b=3,结合条件a2=b2+c2列式求出a,b,则椭圆方程可求;
(2)设出直线方程,和椭圆方程联立后解出P点坐标,两直线方程联立解出M点坐标,由D,P,N三点共线解出N点坐标,
由两点求斜率得到MN的斜率m,代入2m-k化简整理即可得到2m-k为定值.
解答:(1)解:因为
,所以
,即a2=4b2,a=2b.
又a+b=3,得a=2,b=1.
所以椭圆C的方程为
;
(2)证明:因为B(2,0),P不为椭圆顶点,则可设直线BP的方程为
.
联立
,得(4k2+1)x2-16k2x+16k2-4=0.
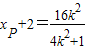
所以
,
.
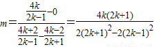
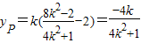
则
.
所以P(
).
又直线AD的方程为
.
联立
,解得M(
).
由三点D(0,1),P(
),N(x,0)共线,
得
,所以N(
).
所以MN的斜率为
=
.
则
.
所以2m-k为定值
.
点评:本题考查了椭圆的标准方程,考查了直线与圆锥曲线的关系,训练了二次方程中根与系数关系,考查了由两点求斜率的公式,是中高档题.
(2)设出直线方程,和椭圆方程联立后解出P点坐标,两直线方程联立解出M点坐标,由D,P,N三点共线解出N点坐标,
由两点求斜率得到MN的斜率m,代入2m-k化简整理即可得到2m-k为定值.
解答:(1)解:因为
又a+b=3,得a=2,b=1.
所以椭圆C的方程为
(2)证明:因为B(2,0),P不为椭圆顶点,则可设直线BP的方程为
联立
所以
则
所以P(
又直线AD的方程为
联立
由三点D(0,1),P(
得
所以MN的斜率为
则
所以2m-k为定值
点评:本题考查了椭圆的标准方程,考查了直线与圆锥曲线的关系,训练了二次方程中根与系数关系,考查了由两点求斜率的公式,是中高档题.
练习册系列答案
相关题目