题目内容
已知实数m是2,8的等比中项,则圆锥曲线
【答案】分析:根据实数m是2,8的等比中项,确定实数m的值,再利用离心率的公式,即可求得结论.
解答:解:由题意,实数m是2,8的等比中项,
∴m2=2×8
∴m=±4
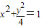
m=4时,方程为
,表示椭圆,离心率为
;
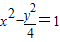
m=-4时,方程为
,表示双曲线,离心率为
综上所述,圆锥曲线
=1的离心率为
或
故答案为:
或
点评:本题考查等比数列,考查圆锥曲线的离心率,解题的关键是正确运用离心率公式.
解答:解:由题意,实数m是2,8的等比中项,
∴m2=2×8
∴m=±4
m=4时,方程为
m=-4时,方程为
综上所述,圆锥曲线
故答案为:
点评:本题考查等比数列,考查圆锥曲线的离心率,解题的关键是正确运用离心率公式.
练习册系列答案
相关题目
已知实数m是2,8的等比中项,则双曲线x2-
=1的离心率为( )
| y2 |
| m |
A、
| ||||
B、
| ||||
C、
| ||||
D、
|