题目内容
设
【答案】分析:把极限符号后面的代数式分子分母同时除以2n,然后分λ=2,|λ|<2和|λ|>2讨论求得极限值,则答案可求.
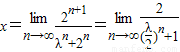
解答:解:由
.
当λ=2时,x=1;
当|λ|<2时,x=2;
当|λ|>2时,x=0.
∴M的元素为0,1,2共3个.
故答案为3.
点评:本题考查了极限及其运算,考查了分类讨论的数学思想方法,是基础的计算题.
解答:解:由
当λ=2时,x=1;
当|λ|<2时,x=2;
当|λ|>2时,x=0.
∴M的元素为0,1,2共3个.
故答案为3.
点评:本题考查了极限及其运算,考查了分类讨论的数学思想方法,是基础的计算题.
练习册系列答案
相关题目