题目内容
已知{an}是等差数列,公差d>0,a2,a5是方程x2-12x+27=0的两根,数列{bn}的前n项和为Tn,且Tn=1-
bn(n∈N*)。
(1)求数列{an},{bn}的通项公式;
(2)记c=anbn,求数列{cn}的前n项和Sn。
(1)求数列{an},{bn}的通项公式;
(2)记c=anbn,求数列{cn}的前n项和Sn。
解:(1)由
,且d>0,得
,
∴
,
,∴
,
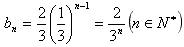
在
中,令n=1,得
;
当n≥2时,
,
,两式相减得,
,
∴
,
∴
。
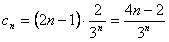
(2)
,
∴
,
,
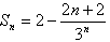
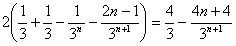
∴
=2
=
,
∴
。
∴
在
当n≥2时,
∴
∴
(2)
∴
∴
=2
=
∴
练习册系列答案
相关题目