题目内容
在等比数列{an}中,a5=162,公比q=3,前n项和Sn=242,求首项a1和项数n.
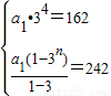
【答案】分析:由已知,得
解方程组可得
解答:解:由已知,得
解得a1=2.
将a1=2代入可得
即 3n=243,解得 n=5.
∴数列{an}的首项a1=2,项数n=5.
点评:本题主要考查了等比数列的通项公式及前n 项和公式的应用,利用基本量a1,q来表示等比数列的项及和,这是数列中最基本的考查类型,属于基础题.
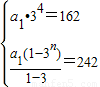
解答:解:由已知,得
解得a1=2.
将a1=2代入可得
即 3n=243,解得 n=5.
∴数列{an}的首项a1=2,项数n=5.
点评:本题主要考查了等比数列的通项公式及前n 项和公式的应用,利用基本量a1,q来表示等比数列的项及和,这是数列中最基本的考查类型,属于基础题.
练习册系列答案
相关题目
在等比数列{an}中,若a1=1,公比q=2,则a12+a22+…+an2=( )
| A、(2n-1)2 | ||
B、
| ||
| C、4n-1 | ||
D、
|