题目内容
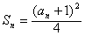
已知数列{an}各项均为正数,其前n项和为Sn,且满足4Sn=(an+1)2。
(1)求{an}的通项公式;
(2)设
,数列{bn}的前n项和为Tn,求Tn的最小值。
(1)求{an}的通项公式;
(2)设
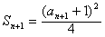
解:(1)因为(an+1)2=4Sn,
所以
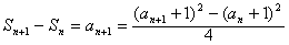
,
所以

即
∴
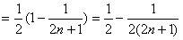
因为
所以
,
即{an}为公差等于2的等差数列
由(a1+1)2=4a1,解得a1=1,
所以an=2n-1。
(2)由(1)知
∴Tn=b1+b2+…+bn


∵


∴
∴数列{Tn}为递增数列,
∴Tn的最小值为
。
所以
所以
即
∴
因为
所以
即{an}为公差等于2的等差数列
由(a1+1)2=4a1,解得a1=1,
所以an=2n-1。
(2)由(1)知
∴Tn=b1+b2+…+bn
∵
∴
∴数列{Tn}为递增数列,
∴Tn的最小值为
练习册系列答案
相关题目