题目内容

已知函数

(Ⅰ)求函数的最小正周期;

(Ⅱ) 求函数的单调递增区间.

 

【答案】

(Ⅰ);(Ⅱ)

【解析】

试题分析:(Ⅰ)先用三角函数的正弦、余弦的二倍角公式化简,再用化一公式,将整理成的形式,用周期公式求周期(Ⅱ)将整体角代入正弦的增区间,解出的范围,即为函数的单调递增区间。

试题解析:解:(Ⅰ).   4分

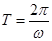
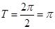
所以函数的最小正周期.        6分

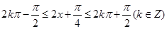
(Ⅱ) 当,        8分

时, 函数单调递增.         9分

的单调递增区间为.        10分

考点:用二倍角公式、化一公式等化简三角函数,考查三角函数周期公式及单调性,又考查整体思想及计算能力。

 

练习册系列答案
相关题目

违法和不良信息举报电话:027-86699610 举报邮箱:58377363@163.com

精英家教网