题目内容
设等比数列{an}的前n项和为Sn,已知a2=6,6a1+a3=30,求an和Sn。
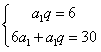
解:设
的公比为q
由题设得
解得
或
当
时,
当
时,
。
由题设得
解得
当
当
练习册系列答案
相关题目
设等比数列{an}的前n项和为Sn,若8a2+a5=0,则下列式子中数值不能确定的是( )
A、
| ||
B、
| ||
C、
| ||
D、
|
设等比数列{an}的前n项和为Sn,若
=3,则
=( )
| S6 |
| S3 |
| S9 |
| S6 |
A、
| ||
B、
| ||
C、
| ||
| D、1 |