搜索
题目内容
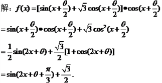
已知
.若θ∈[0,π]且f(x)为偶函数,求θ的值.
试题答案
相关练习册答案
因为f(x)为偶函数,所以f(-x)=f(x),
即
得
所以
又θ∈[0,π],所以
.
练习册系列答案
名校课堂系列答案
西城学科专项测试系列答案
小考必做系列答案
小考实战系列答案
小考复习精要系列答案
小考总动员系列答案
小升初必备冲刺48天系列答案
68所名校图书小升初高分夺冠真卷系列答案
伴你成长周周练月月测系列答案
小升初金卷导练系列答案
相关题目
已知函数
,若0<a<b,且f(a)=f(b),则a+2b的取值范围是
(A)
(B)
(C)
(D)
已知
.若θ∈[0,π]且f(x)为偶函数,求θ的值.
已知
,若0<a<b<1,则下列各式中正确的是( )
A.
B.
C.
D.
已知
.若θ∈[0,π]且f(x)为偶函数,求θ的值.
已知
.若θ∈[0,π]且f(x)为偶函数,求θ的值.
关 闭
试题分类
高中
数学
英语
物理
化学
生物
地理
初中
数学
英语
物理
化学
生物
地理
小学
数学
英语
其他
阅读理解答案
已回答习题
未回答习题
题目汇总
试卷汇总
练习册解析答案