题目内容

已知△ABC得三边长成公比为的等比数列,则其最大角的余弦值为   
【答案】分析:根据三角形三边长成公比为的等比数列,根据等比数列的性质设出三角形的三边为a,a,2a,根据2a为最大边,利用大边对大角可得出2a所对的角最大,设为θ,利用余弦定理表示出cosθ,将设出的三边长代入,即可求出cosθ的值.
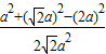
解答:解:根据题意设三角形的三边长分别为a,a,2a,
∵2a>a>a,∴2a所对的角为最大角,设为θ,
则根据余弦定理得:cosθ==-
故答案为:-
点评:此题考查了余弦定理,等比数列的性质,以及三角形的边角关系,熟练掌握余弦定理是解本题的关键.
练习册系列答案
相关题目

违法和不良信息举报电话:027-86699610 举报邮箱:58377363@163.com

精英家教网