题目内容

已知椭圆的中心在原点,焦点在轴上,焦距为,且经过点,直线交椭圆于不同的两点A,B.

(1)求的取值范围;,

(2)若直线不经过点,求证:直线的斜率互为相反数.

 

【答案】

(1);(2)证明过程详见解析.

【解析】

试题分析:本题主要考查椭圆的标准方程、韦达定理等基础知识,考查运算求解能力、综合分析和解决问题的能力.第一问,用待定系数法,先设出椭圆方程,根据焦距和椭圆过,解出,得到椭圆方程,由于直线与椭圆有2个交点,所以联立得到的关于的方程有2个不相等实根,所以利用求解;第二问,分析题意得只需证明,设出点坐标,利用第一问得出的关于的方程找到,将化简,把的结果代入即可得证.

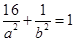
试题解析:(1)设椭圆的方程为,因为,所以

又因为椭圆过点,所以,解得,故椭圆方程为.   3分

代入并整理得

,解得.         6分

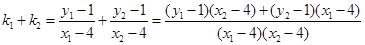
(2)设直线的斜率分别为,只要证明.

,则.        9分

分子

所以直线的斜率互为相反数.         12分

考点:1.椭圆的标准方程;2.韦达定理.

 

练习册系列答案
相关题目

违法和不良信息举报电话:027-86699610 举报邮箱:58377363@163.com

精英家教网