题目内容
过抛物线y2=2px(p>0)的焦点F且倾斜角为60°的直线l与抛物线在第一、四象限分别交于A、B两点,则A.5
B.4
C.3
D.2
【答案】分析:设出A、B坐标,利用焦半径公式求出|AB|,结合
,求出A、B的坐标,然后求其比值.
解答:解:设A(x1,y1),B(x2,y2),
,
,
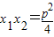
又
,可得
,
则
,
故选C.
点评:本题考查直线的倾斜角,抛物线的简单性质,考查学生分析问题解决问题的能力,是基础题.
解答:解:设A(x1,y1),B(x2,y2),
又
则
故选C.
点评:本题考查直线的倾斜角,抛物线的简单性质,考查学生分析问题解决问题的能力,是基础题.
练习册系列答案
相关题目
过抛物线y2=2px(p>0)的焦点F的直线l与抛物线在第一象限的交点为A,与抛物线的准线的交点为B,点A在抛物线准线上的射影为C,若
=
,
•
=48,则抛物线的方程为( )
| AF |
| FB |
| BA |
| BC |
| A、y2=4x | ||
| B、y2=8x | ||
| C、y2=16x | ||
D、y2=4
|
过抛物线y2=2px(p>0)的焦点F作直线交抛物线于A、B两点,O为抛物线的顶点.则△ABO是一个( )
| A、等边三角形 | B、直角三角形 | C、不等边锐角三角形 | D、钝角三角形 |