题目内容
已知函数f(x)=x-alnx,(Ⅰ)若a=1,求函数f(x)的极值;
(Ⅱ)设函数h(x)=f(x)-g(x),求函数h(x)的单调区间;
(Ⅲ)若在[1,e](e=2.718…)上存在一点x,使得f(x)<g(x)成立,求a的取值范围.
【答案】分析:(Ⅰ)先求出其导函数,让其大于0求出增区间,小于0求出减区间即可得到函数的单调区间进而求出函数f(x)的极值;
(Ⅱ)先求出函数h(x)的导函数,分情况讨论让其大于0求出增区间,小于0求出减区间即可得到函数的单调区间;
(Ⅲ)先把f(x)<g(x)成立转化为h(x)<0,即函数
在[1,e]上的最小值小于零;再结合(Ⅱ)的结论分情况讨论求出其最小值即可求出a的取值范围.
解答:解:(Ⅰ)f(x)的定义域为(0,+∞),(1分)
当a=1时,f(x)=x-lnx,
,(2分)
(3分)
所以f(x)在x=1处取得极小值1.(4分)
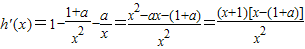
(Ⅱ)
,
(6分)
①当a+1>0时,即a>-1时,在(0,1+a)上h'(x)<0,在(1+a,+∞)上h'(x)>0,
所以h(x)在(0,1+a)上单调递减,在(1+a,+∞)上单调递增;(7分)
②当1+a≤0,即a≤-1时,在(0,+∞)上h'(x)>0,
所以,函数h(x)在(0,+∞)上单调递增.(8分)
( III)在[1,e]上存在一点x,使得f(x)<g(x)成立,即
在[1,e]上存在一点x,使得h(x)<0,
即函数
在[1,e]上的最小值小于零.(9分)
由(Ⅱ)可知
①即1+a≥e,即a≥e-1时,h(x)在[1,e]上单调递减,
所以h(x)的最小值为h(e),
由
可得
,
因为
,
所以
;(10分)
②当1+a≤1,即a≤0时,h(x)在[1,e]上单调递增,
所以h(x)最小值为h(1),由h(1)=1+1+a<0可得a<-2;(11分)
③当1<1+a<e,即0<a<e-1时,可得h(x)最小值为h(1+a),
因为0<ln(1+a)<1,
所以,0<aln(1+a)<a
故h(1+a)=2+a-aln(1+a)>2
此时,h(1+a)<0不成立.(12分)
综上讨论可得所求a的范围是:
或a<-2.(13分)
点评:本题第一问考查利用导函数来研究函数的极值.在利用导函数来研究函数的极值时,分三步①求导函数,②求导函数为0的根,③判断根左右两侧的符号,若左正右负,原函数取极大值;若左负右正,原函数取极小值.
(Ⅱ)先求出函数h(x)的导函数,分情况讨论让其大于0求出增区间,小于0求出减区间即可得到函数的单调区间;
(Ⅲ)先把f(x)<g(x)成立转化为h(x)<0,即函数
解答:解:(Ⅰ)f(x)的定义域为(0,+∞),(1分)
当a=1时,f(x)=x-lnx,
| x | (0,1) | 1 | (1,+∞) |
| f'(x) | - | + | |
| f(x) | 极小 |
所以f(x)在x=1处取得极小值1.(4分)
(Ⅱ)
①当a+1>0时,即a>-1时,在(0,1+a)上h'(x)<0,在(1+a,+∞)上h'(x)>0,
所以h(x)在(0,1+a)上单调递减,在(1+a,+∞)上单调递增;(7分)
②当1+a≤0,即a≤-1时,在(0,+∞)上h'(x)>0,
所以,函数h(x)在(0,+∞)上单调递增.(8分)
( III)在[1,e]上存在一点x,使得f(x)<g(x)成立,即
在[1,e]上存在一点x,使得h(x)<0,
即函数
由(Ⅱ)可知
①即1+a≥e,即a≥e-1时,h(x)在[1,e]上单调递减,
所以h(x)的最小值为h(e),
由
因为
所以
②当1+a≤1,即a≤0时,h(x)在[1,e]上单调递增,
所以h(x)最小值为h(1),由h(1)=1+1+a<0可得a<-2;(11分)
③当1<1+a<e,即0<a<e-1时,可得h(x)最小值为h(1+a),
因为0<ln(1+a)<1,
所以,0<aln(1+a)<a
故h(1+a)=2+a-aln(1+a)>2
此时,h(1+a)<0不成立.(12分)
综上讨论可得所求a的范围是:
点评:本题第一问考查利用导函数来研究函数的极值.在利用导函数来研究函数的极值时,分三步①求导函数,②求导函数为0的根,③判断根左右两侧的符号,若左正右负,原函数取极大值;若左负右正,原函数取极小值.
练习册系列答案
相关题目
| π |
| 2 |
A、f(x)=2sin(πx+
| ||
B、f(x)=2sin(2πx+
| ||
C、f(x)=2sin(πx+
| ||
D、f(x)=2sin(2πx+
|