题目内容
已知函数
【答案】分析:先利用单调性的定义,确定函数的单调性,再求f(x)在区间[2,5]上的最大值和最小值.
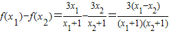
解答:解:在[2,5]上任取两个数x1<x2,则有….(2分)

∵2≤x1<x2≤5
∴x1-x2<0,x1+1>0,x2+1>0
∴f(x1)-f(x2)<0
所以,函数f(x)在[2,5]上是增函数.….(10分)
所以,当x=2时,f(x)min=f(2)=2….(12分)
当x=5时,
….(14分)
点评:本题考查的重点是函数的最值,解题的关键是确定函数在所给区间上的单调性.
解答:解:在[2,5]上任取两个数x1<x2,则有….(2分)
∵2≤x1<x2≤5
∴x1-x2<0,x1+1>0,x2+1>0
∴f(x1)-f(x2)<0
所以,函数f(x)在[2,5]上是增函数.….(10分)
所以,当x=2时,f(x)min=f(2)=2….(12分)
当x=5时,
点评:本题考查的重点是函数的最值,解题的关键是确定函数在所给区间上的单调性.
练习册系列答案
相关题目