题目内容
已知正三棱锥的侧面积为18
【答案】分析:设出正三棱锥的底面边长为a,求出底面三角形的高,然后求出斜高,利用侧面积,求出a,然后求体积.
解答:解:设正三角形的边长为a,所以三角形的高为:
所以棱锥的斜高为:
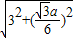
所以6
=
a
解得a=6
所以正三棱锥的体积:
=
故答案为:
点评:本题考查棱锥的体积的求法,考查计算能力,是基础题.
解答:解:设正三角形的边长为a,所以三角形的高为:
所以棱锥的斜高为:
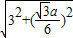
所以6
解得a=6
所以正三棱锥的体积:
故答案为:
点评:本题考查棱锥的体积的求法,考查计算能力,是基础题.
练习册系列答案
相关题目