题目内容
已知数列的前n项和,数列的前Ii项和①求数列和的通项公式;②设,求数列的前n项和的表达式
略
解析
(本小题满分12分)已知数列的前n项和为等差数列,又成等比数列.
(I)求数列、的通项公式;
(II)求数列的前n项和.
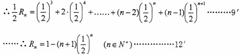
已知数列的前n项和为
(I)求的通项公式;
(II)数列,求数列的前n项和;
(III)若对一切正整数n恒成立,求实数m的取值范围。