题目内容

中,,且,点满足        .

 

【答案】

【解析】

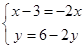
试题分析:以C为原点,分别以CB,CA为x轴,y轴建立直角坐标系,则C(0,0),B(3,0),C(0,3),设M(x,y),因为,所以(x-3,y)=2(-x,3-y),即解得,即M(1,2),所以=(1,2)·(3,0)=1×3+2×0=3.

考点:向量的坐标运算和数量积.

 

练习册系列答案
相关题目

违法和不良信息举报电话:027-86699610 举报邮箱:58377363@163.com

精英家教网