题目内容

曲线=x与y=围成的图形的面积为______________.

 

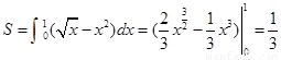
【答案】

【解析】

试题分析:求曲线和曲线围成的图形面积,首先求出两曲线交点的横坐标0、1,然后求在区间[0,1]上的积分,具体解法为联立,解得,所以曲线和曲线围成的图形面积,故选A.对于求平面图形的面积问题,首先应画出平面图形的大致形状,根据图形特点,选择相应的积分变量和被积函数,并确定被积区间,解答的关键是找到被积函数的原函数.

考点:定积分的运用,考查学生的数形结合能力,与基本计算能力.

 

练习册系列答案
相关题目

违法和不良信息举报电话:027-86699610 举报邮箱:58377363@163.com

精英家教网