题目内容
在正项等比数列{
}中,
<
,
,则
= ( )
A.
B.![]()
C.
D.![]()
【答案】
D
【解析】
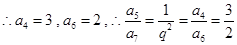
试题分析:由已知得
又![]()
.
考点:等比数列的性质.
练习册系列答案
相关题目
在正项等比数列{an}中,a3=
,a5=8a7,则a10=( )
| 2 |
A、
| ||
B、
| ||
C、
| ||
D、
|