题目内容
已知函数(1)判断函数f(x)的奇偶性和单调性;
(2)对于函数f(x),当x∈(-1,1)时,有f(1-t)+f(1-t2)<0,求t的取值范围.
【答案】分析:(1)判断奇偶性,先求定义域,看是否关于原点中心对称,若不是,则为非奇非偶函数;若是,再判断f(-x)与f(x)的关系,得出结论,按照定义去判断,取值,作差,变形,判断符号,得出结论.
(2)先移项,得f(1-t)<-f(1-t2),根据奇函数,f(1-t)<f(t2-1),再根据单调性,求出t的取值范围,注意函数的定义域优先原则.
解答:解:(1)因为函数f(x)的定义域为R,又f(-x)=
(a-x-ax)=-f(x)
所以f(x)是奇函数
当a>1,函数f(x)为R上的增函数.
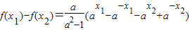
证明:在R上任取x1<x2,
则
=

因为x1<x2,又a>1,所以
,
,
,
>0
∴f(x1)-f(x2)<0
所以f(x1)<f(x2).
所以函数f(x)为R上的增函数
同理,当0<a<1时,函数f(x)为R上的增函数
(2)由f(1-t)+f(1-t2)<0,可得f(1-t)<-f(1-t2).
由函数f(x)是奇函数,可得f(1-t)<f(t2-1).
又函数f(x)为R上的增函数,所以1-t<t2-1,即t2+t-2>0.
∴
点评:本题考查了函数的奇偶性的判断,函数单调性的证明,抽象函数性质应用,关键是正确应用函数的基本性质解题.
(2)先移项,得f(1-t)<-f(1-t2),根据奇函数,f(1-t)<f(t2-1),再根据单调性,求出t的取值范围,注意函数的定义域优先原则.
解答:解:(1)因为函数f(x)的定义域为R,又f(-x)=
所以f(x)是奇函数
当a>1,函数f(x)为R上的增函数.
证明:在R上任取x1<x2,
则
=
因为x1<x2,又a>1,所以
∴f(x1)-f(x2)<0
所以f(x1)<f(x2).
所以函数f(x)为R上的增函数
同理,当0<a<1时,函数f(x)为R上的增函数
(2)由f(1-t)+f(1-t2)<0,可得f(1-t)<-f(1-t2).
由函数f(x)是奇函数,可得f(1-t)<f(t2-1).
又函数f(x)为R上的增函数,所以1-t<t2-1,即t2+t-2>0.
点评:本题考查了函数的奇偶性的判断,函数单调性的证明,抽象函数性质应用,关键是正确应用函数的基本性质解题.
练习册系列答案
相关题目