搜索
题目内容
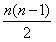
数列{a
n
}满足:a
1
=0,a
n+1
=a
n
+n(n∈N*),则数列{a
n
}的通项a
n
=( )。
试题答案
相关练习册答案
练习册系列答案
赢在课堂快乐暑假新疆美术摄影出版社系列答案
达标金卷百分百系列答案
课外文言文拓展阅读系列答案
暑假作业湖南少年儿童出版社系列答案
天舟文化精彩暑假团结出版社系列答案
快乐假期暑假作业延边教育出版社系列答案
暑假学习乐园浙江科学技术出版社系列答案
新暑假作业浙江教育出版社系列答案
小升初衔接教程快乐假期系列答案
轻松暑假总复习系列答案
相关题目
设数列{a
n
}满足a
1
=a,a
n+1
=ca
n
+1-c(n∈N
*
),其中a,c为实数,且c≠0.
(Ⅰ)求数列{a
n
}的通项公式;
(Ⅱ)设
a=
1
2
,c=
1
2
,
b
n
=n(1-
a
n
)(n∈
N
*
)
,求数列{b
n
}的前n项和S
n
.
数列{a
n
}满足a
1
=a,
a
n+1
=
a
n
+3
2
,n=1,2,3,….
(Ⅰ)若a
n+1
=a
n
,求a的值;
(Ⅱ)当
a=
1
2
时,证明:
a
n
<
3
2
;
(Ⅲ)设数列{a
n
-1}的前n项之积为T
n
.若对任意正整数n,总有(a
n
+1)T
n
≤6成立,求a的取值范围.
(2011•天津模拟)设数列{a
n
}满足a
1
=a,a
n+1
=ca
n
+1-c(n∈N
*
),其中a,c为实数,且c≠0.
(1)求证:a≠1时数列{a
n
-1}是等比数列,并求a
n
;
(2)设
a=
1
2
c=
1
2
,
b
n
=n(1-
a
n
)(n∈
N
*
)
,求数列{b
n
}的前n项和S
n
;
(3)设
a=
3
4
,c=-
1
4
,
c
n
=
3+
a
n
2-
a
n
(n∈
N
*
),记
d
n
=
c
2n
-
c
2n-1
(n∈
N
*
)
,设数列{d
n
}的前n项和为T
n
,求证:对任意正整数n都有
T
n
<
5
3
.
(2009•大连二模)已知a为实数,数列{a
n
}满足a
1
=a,当n
≥2时,
a
n
=
a
n-1
-4 (
a
n
-1
>4
)
5-
a
n-1
(
a
n-1
≤4)
(I)当a=200时,填写下列表格;
N
2
3
51
200
a
n
(II)当a=200时,求数列{a
n
}的前200项的和S
200
;
(III)令b
n
=
a
n
(-2
)
n
,T
n
=b
1
+b
2
…+b
n
求证:当1
<a<
5
3
时,T
n
<
5-3a
3
.
已知常数a、b都是正整数,函数
f(x)=
x
bx+1
(x>0),数列{a
n
}满足a
1
=a,
1
a
n+1
=f(
1
a
n
)
(n∈N
*
)
(1)求数列{a
n
}的通项公式;
(2)若a=8b,且等比数列{b
n
}同时满足:①b
1
=a
1
,b
2
=a
5
;②数列{b
n
}的每一项都是数列{a
n
}中的某一项.试判断数列{b
n
}是有穷数列或是无穷数列,并简要说明理由;
(3)对问题(2)继续探究,若b
2
=a
m
(m>1,m是常数),当m取何正整数时,数列{b
n
}是有穷数列;当m取何正整数时,数列{b
n
}是无穷数列,并说明理由.
关 闭
试题分类
高中
数学
英语
物理
化学
生物
地理
初中
数学
英语
物理
化学
生物
地理
小学
数学
英语
其他
阅读理解答案
已回答习题
未回答习题
题目汇总
试卷汇总
练习册解析答案