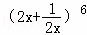
题目内容

的展开式中的常数项是 (用数学除答)

考点:

二项式定理.

专题:

计算题.

分析:

在二项展开式的通项公式中,令x的幂指数等于0,求出r的值,即可求得常数项.

解答:

解:由于的展开式的通项公式为Tr+1=•(2x)6﹣r•(2x)﹣r=26﹣2r•x6﹣2r

令6﹣2r=0,求得 r=3,∴展开式中的常数项是 =20,

故答案为 20.

点评:

本题主要考查二项式定理的应用,二项展开式的通项公式,求展开式中某项的系数,属于中档题.

 

练习册系列答案
相关题目

违法和不良信息举报电话:027-86699610 举报邮箱:58377363@163.com

精英家教网