题目内容
已知,则( )
A.
B.
C.
D.
已知=120,则n等于( )
A.4 B.5 C.6 D.7
已知=132,则n等于( )
A.11 B.12 C.13 D.以上都不对
已知集合则 ( )
A. B.
C. D.
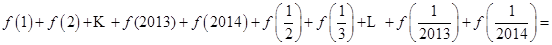
已知函数则( )
(A) 2010 (B) 2011 (C) 2012 (D) 2013
已知全集则 ( )
A. B. C. D.