题目内容
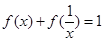
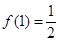
已知函数
则
( )
(A) 2010
(B) 2011
(C) 2012
(D) 2013![]()
【答案】
D
【解析】
试题分析:这种类型求和问题,一般都是配对分组,观察式子的特征,研究发现
,因此把式子中
与
合并后每个和都为1,共有2013个1,而
,故结论为D.
考点:分组求和.
练习册系列答案
相关题目