题目内容
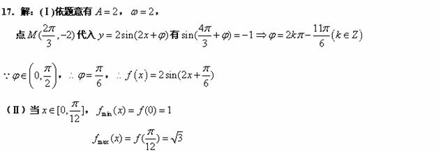
已知函数(其中)的周期为,且图象上一个最低点为.
(1) 求的解析式;
(2)当,求的最大值和最小值.
顶点在原点,且过点的抛物线的标准方程是 .
一个几何体的三视图如图所示(单位:cm),那么此几何体的表面积(单位:cm2)是( )
A.102 B.128 C.144 D.184
曲线在点A(0,1)处的切线斜率为( )
A.1 B.2 C. D.
设双曲线的一个焦点为,虚轴的一个端点为,如果直线与该双曲线的一条渐近线垂直,那么此双曲线的离心率为( )
A. B. C. D.
如图,圆O的直径,为圆周上一点,,过作圆的切线,过A作的垂线AD,AD分段别与直线、圆交于点D、E。求的度数与线段AE的长。
已知条件, 条件 ,则是的( )
A.充分不必要条件 B.必要不充分条件
C.充要条件 D.既不充分也不必要条件
已知直线经过椭圆 的左顶点A和上顶点D,椭圆的右顶点为,点是椭圆上位于轴上方的动点,直线,与直线
分别交于两点.
(1)求椭圆的方程;
(2)求线段MN的长度的最小值;
(3)当线段MN的长度最小时,在椭圆上是否存在这样的点,使得的面积为?若存在,确定点的个数,若不存在,说明理由。
已知p:方程x2+mx+1=0有两个不等的负根;q:方程4x2+4(m-2)x+1=0无实根.若p或q为真,p且q为假,求m的取值范围.