题目内容
已知数列{an}中的相邻两项a2k-1,a2k是关于x的方程x2-(3k+2k)x+3k•2k=0的两个根,且a2k-1≤a2k(k=1,2,3,…).(I)求a1,a3,a5,a7;
(II)求数列{an}的前2n项和S2n;
(Ⅲ)记
【答案】分析:(1)用解方程或根与系数的关系表示a2k-1,a2k,k赋值即可.
(2)由S2n=(a1+a2)+…+(a2n-1+a2n)可分组求和.
(3)Tn复杂,常用放缩法,但较难.
解答:解:(I)解:方程x2-(3k+2k)x+3k•2k=0的两个根为x1=3k,x2=2k,
当k=1时,x1=3,x2=2,所以a1=2;
当k=2时,x1=6,x2=4,所以a3=4;
当k=3时,x1=9,x2=8,所以a5=8时;
当k=4时,x1=12,x2=16,所以a7=12.
(II)解:S2n=a1+a2++a2n=(3+6++3n)+(2+22++2n)=
.
(III)证明:
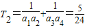
,
所以
,
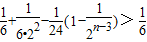
.当n≥3时,
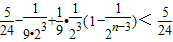
,
=
,
同时,

=
.
综上,当n∈N*时,
.
点评:本题主要考查等差、等比数列的基本知识,考查运算及推理能力.本题属难题,一般要求做(1),(2)即可,让学生掌握常见方法,对(3)不做要求.
(2)由S2n=(a1+a2)+…+(a2n-1+a2n)可分组求和.
(3)Tn复杂,常用放缩法,但较难.
解答:解:(I)解:方程x2-(3k+2k)x+3k•2k=0的两个根为x1=3k,x2=2k,
当k=1时,x1=3,x2=2,所以a1=2;
当k=2时,x1=6,x2=4,所以a3=4;
当k=3时,x1=9,x2=8,所以a5=8时;
当k=4时,x1=12,x2=16,所以a7=12.
(II)解:S2n=a1+a2++a2n=(3+6++3n)+(2+22++2n)=
(III)证明:
所以
同时,
综上,当n∈N*时,
点评:本题主要考查等差、等比数列的基本知识,考查运算及推理能力.本题属难题,一般要求做(1),(2)即可,让学生掌握常见方法,对(3)不做要求.
练习册系列答案
相关题目