题目内容
在[0,10]上随机取两个实数x,y,则事件“2x+y≥2”的概率为 .
【答案】分析:在[0,10]上随机取两个实数x,y,列出x和y满足的关系式,在平面直角坐标系中做出对应的区域,利用面积之比求解即可.
解答:
解:由题意
,在平面直角坐标系中做出对应的区域,
及事件“2x+y≥2”对应的区域,如下图所示:
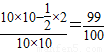
所以事件“2x+y≥2”的概率为
故答案为:
点评:本题考查几何概型知识、二元一次不等式表示的平面区域等,属基本运算的考查.
解答:
及事件“2x+y≥2”对应的区域,如下图所示:
所以事件“2x+y≥2”的概率为
故答案为:
点评:本题考查几何概型知识、二元一次不等式表示的平面区域等,属基本运算的考查.
练习册系列答案
相关题目
设m在[0,10]上随机地取值,则方程4x2+4mx+m+6=0有实根的概率是( )
A、
| ||
B、
| ||
C、
| ||
D、
|