题目内容
已知数列{an},{bn}满足:(Ⅰ)证明数列{bn}为等比数列.并求数列{an},{bn}的通项公式;
(Ⅱ)记数列{an},{bn}的前n项和分别为Sn,Tn,若对任意的n∈N*都有
【答案】分析:(Ⅰ)利用数列递推式整理变形,利用等比数列的定义,可得数列{bn}为等比数列,从而可求数列{an},{bn}的通项公式;
(Ⅱ)对任意的n∈N*都有
,等价于
对任意的n∈N*成立,由此可求实数m的最小值.
解答:(Ⅰ)证明:由已知得
,…(2分)
∵
,∴2bn+1=bn
∵
,∴
,
∴{bn}为等比数列.…(4分)
所以
,…(6分)
进而
.…(7分)
(Ⅱ)解:
=4•2n+1…(10分)
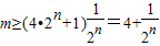
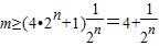
则
对任意的n∈N*成立. …(12分)
∵数列
是递减数列,∴
∴m的最小值为
. …(14分)
点评:本题考查数列递推式,考查等比数列的证明,考查数列的通项,考查恒成立问题,正确求通项是关键.
(Ⅱ)对任意的n∈N*都有
解答:(Ⅰ)证明:由已知得
∵
∵
∴{bn}为等比数列.…(4分)
所以
进而
(Ⅱ)解:
则
∵数列
∴m的最小值为
点评:本题考查数列递推式,考查等比数列的证明,考查数列的通项,考查恒成立问题,正确求通项是关键.
练习册系列答案
相关题目