题目内容
函数y=2x2-ln2x的单调递增区间是( )A.
B.
C.
D.
【答案】分析:先确定函数的定义域然后求导数fˊ(x),在函数的定义域内解不等式fˊ(x)>0
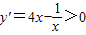
解答:解:根据导数大于0知,
由
,
得
,
故选C.
点评:本题主要考查了导数,利用导数判断函数的单调性的步骤是:(1)确定 f(x)的定义域;(2)求导数fˊ(x);(3)在函数 的定义域内解不等式fˊ(x)>0和fˊ(x)<0;(4)确定 的单调区间.若在函数式中含字母系数,往往要分类讨论.
解答:解:根据导数大于0知,
由
得
故选C.
点评:本题主要考查了导数,利用导数判断函数的单调性的步骤是:(1)确定 f(x)的定义域;(2)求导数fˊ(x);(3)在函数 的定义域内解不等式fˊ(x)>0和fˊ(x)<0;(4)确定 的单调区间.若在函数式中含字母系数,往往要分类讨论.
练习册系列答案
相关题目