题目内容
对于区间[a,b](a<b),若函数y=f(x)同时满足:①f(x)在[a,b]上是单调函数;②函数y=f(x),x∈[a,b]的值域是[a,b],则称区间[a,b]为函数f(x)的“保值”区间.(1)求函数y=x2的所有“保值”区间;
(2)函数y=x2+m(m≠0)是否存在“保值”区间?若存在,求出m的取值范围;若不存在,说明理由.
【答案】分析:(1)由已知中保值”区间的定义,结合函数y=x2的值域是[0,+∞),我们可得[a,b]⊆[0,+∞),从而函数y=x2在区间[a,b]上单调递增,则
,结合a<b即可得到函数y=x2的“保值”区间.
(2)根据已知中保值”区间的定义,我们分函数y=x2+m在区间[a,b]上单调递减,和函数y=x2+m在区间[a,b]上单调递增,两种情况分类讨论,最后综合讨论结果,即可得到答案.
解答:解:(1)因为函数y=x2的值域是[0,+∞),且y=x2在[a,b]的值域是[a,b],
所以[a,b]⊆[0,+∞),所以a≥0,从而函数y=x2在区间[a,b]上单调递增,
故有
解得
又a<b,所以
所以函数y=x2的“保值”区间为[0,1].…(3分)
(2)若函数y=x2+m(m≠0)存在“保值”区间,则有:
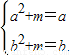
①若a<b≤0,此时函数y=x2+m在区间[a,b]上单调递减,
所以
消去m得a2-b2=b-a,整理得(a-b)(a+b+1)=0.
因为a<b,所以a+b+1=0,即 a=-b-1.又
所以
.
因为
,所以
.…(6分)
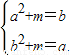
②若b>a≥0,此时函数y=x2+m在区间[a,b]上单调递增,
所以
消去m得a2-b2=a-b,整理得(a-b)(a+b-1)=0.
因为a<b,所以 a+b-1=0,即 b=1-a.又
所以
.
因为
,所以
.
因为 m≠0,所以
.…(9分)
综合 ①、②得,函数y=x2+m(m≠0)存在“保值”区间,此时m的取值范围是
.…(10分)
点评:本题考查的知识点是函数单调性,函数的值,其中正确理解新定义的含义,并根据新定义构造出满足条件的方程(组)或不等式(组)将新定义转化为数学熟悉的数学模型是解答本题的关键.
(2)根据已知中保值”区间的定义,我们分函数y=x2+m在区间[a,b]上单调递减,和函数y=x2+m在区间[a,b]上单调递增,两种情况分类讨论,最后综合讨论结果,即可得到答案.
解答:解:(1)因为函数y=x2的值域是[0,+∞),且y=x2在[a,b]的值域是[a,b],
所以[a,b]⊆[0,+∞),所以a≥0,从而函数y=x2在区间[a,b]上单调递增,
故有
又a<b,所以
(2)若函数y=x2+m(m≠0)存在“保值”区间,则有:
①若a<b≤0,此时函数y=x2+m在区间[a,b]上单调递减,
所以
因为a<b,所以a+b+1=0,即 a=-b-1.又
因为
②若b>a≥0,此时函数y=x2+m在区间[a,b]上单调递增,
所以
因为a<b,所以 a+b-1=0,即 b=1-a.又
因为
因为 m≠0,所以
综合 ①、②得,函数y=x2+m(m≠0)存在“保值”区间,此时m的取值范围是
点评:本题考查的知识点是函数单调性,函数的值,其中正确理解新定义的含义,并根据新定义构造出满足条件的方程(组)或不等式(组)将新定义转化为数学熟悉的数学模型是解答本题的关键.
练习册系列答案
相关题目