题目内容
已知等差数列{an}的前n项和为Sn,且a2=-5,S5=-20.(Ⅰ)求数列{an}的通项公式;
(Ⅱ)求使不等式Sn>an成立的n的最小值.
【答案】分析:(I)设{an}的公差为d,利用首项a1及公差d表示已知,解方程即可求解a1,d,进而可求通项公式
(II)利用等差数列的求和公式及通项公式代入已知,整理解不等式即可求解n的范围,可求
解答:解:(I)设{an}的公差为d,
依题意,有 a2=a1+d=-5,S5=5a1+10d=-20…(2分)
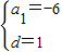
联立得
解得
…(5分)
所以an=-6+(n-1)•1=n-7…(7分)
(II)因为an=n-7,
所以
…(9分)
令
,
即n2-15n+14>0…(11分)
解得n<1或n>14
又n∈N*,所以n>14
所以n的最小值为15…(13分)
点评:本题主要考查了等差数列的通项公式及求和公式的简单应用,一元二次不等式的求解,属于基础试题
(II)利用等差数列的求和公式及通项公式代入已知,整理解不等式即可求解n的范围,可求
解答:解:(I)设{an}的公差为d,
依题意,有 a2=a1+d=-5,S5=5a1+10d=-20…(2分)
联立得
解得
所以an=-6+(n-1)•1=n-7…(7分)
(II)因为an=n-7,
所以
令
即n2-15n+14>0…(11分)
解得n<1或n>14
又n∈N*,所以n>14
所以n的最小值为15…(13分)
点评:本题主要考查了等差数列的通项公式及求和公式的简单应用,一元二次不等式的求解,属于基础试题
练习册系列答案
相关题目