题目内容
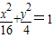
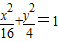
已知椭圆
【答案】分析:设椭圆上点P的坐标,代入椭圆方程,利用M(0,3)及两点间的距离公式求|PM|的表达式,结合y的范围利用二次函数的性质,即可求出|PM|的最大值.
解答:解:设椭圆上点P的坐标为P(x,y),
则x,y满足
,化简得x2=16-4y2,
根据两点间的距离公式,
∴|PM|=
=
=
,
∵P(x,y)在椭圆
上,∴y∈[-2,2],
∴当y=-1时,
,
∴|PM|≤2
.
故|PM|的最大值是2
.
点评:本题主要考查了椭圆的方程,以及椭圆的简单性质,属于基础题.
解答:解:设椭圆上点P的坐标为P(x,y),
则x,y满足
根据两点间的距离公式,
∴|PM|=
∵P(x,y)在椭圆
∴当y=-1时,
∴|PM|≤2
故|PM|的最大值是2
点评:本题主要考查了椭圆的方程,以及椭圆的简单性质,属于基础题.
练习册系列答案
相关题目