题目内容

已知

(1)若,求的值;

(2)若的值.

 

【答案】

(Ⅰ);(Ⅱ)或7.

【解析】

试题分析:(Ⅰ)根据向量的数量积的坐标表示,转化为三角函数运算即可;(Ⅱ)由,可求出,联系条件,可用“凑角法”,.

试题解析:(1)∵ 

          5分

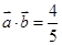
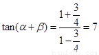
(2)∵,∴

                7分

                      9分

               14分

考点:向量的数量积、三角函数公式的应用.

 

练习册系列答案
相关题目

违法和不良信息举报电话:027-86699610 举报邮箱:58377363@163.com

精英家教网