题目内容
在数列{an}中,a1+2a2+3a3+…+nan=n(2n+1)(n∈N*),
(Ⅰ)求数列{an}的通项公式;
(Ⅱ)求数列
的前n项和Tn。
(Ⅰ)求数列{an}的通项公式;
(Ⅱ)求数列
解:(Ⅰ)当n≥2时,a1+2a2+3a3+…+
=(n-1)(2n-1),
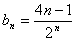
∴nan=4n-1,
,
当n=1时,a1=3满足上式,
∴
(n≥1,n∈N*);
(Ⅱ)记
,则
,
∴
,
,
∴
,
∴
。
∴nan=4n-1,
当n=1时,a1=3满足上式,
∴
(Ⅱ)记
∴
∴
∴
练习册系列答案
相关题目