搜索
题目内容
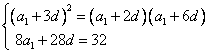
公差d≠0的等差数列{a
n
}的前n项和为S
n
,若a
4
是a
3
与a
7
的等比中项,且S
8
=32,求S
10
的大小。
试题答案
相关练习册答案
解:由题意,得
,
解得:
,
所以,
。
练习册系列答案
课课练与单元测试系列答案
世纪金榜小博士单元期末一卷通系列答案
单元测试AB卷台海出版社系列答案
黄冈新思维培优考王单元加期末卷系列答案
名校名师夺冠金卷系列答案
小学英语课时练系列答案
培优新帮手系列答案
天天向上一本好卷系列答案
小学生10分钟应用题系列答案
课堂作业广西教育出版社系列答案
相关题目
(Ⅰ)已知函数
f(x)=
x
x+1
.数列{a
n
}满足:a
n
>0,a
1
=1,且
a
n+1
=f(
a
n
)
,记数列{b
n
}的前n项和为S
n
,且
S
n
=
2
2
[
1
a
n
+(
2
+1)n]
.求数列{b
n
}的通项公式;并判断b
4
+b
6
是否仍为数列{b
n
}中的项?若是,请证明;否则,说明理由.
(Ⅱ)设{c
n
}为首项是c
1
,公差d≠0的等差数列,求证:“数列{c
n
}中任意不同两项之和仍为数列{c
n
}中的项”的充要条件是“存在整数m≥-1,使c
1
=md”.
公差d≠0的等差数列{a
n
}的前n项和为S
n
,已知
a
1
=2+
2
,
S
3
=12+3
2
.
(Ⅰ)求数列{a
n
}的通项公式a
n
及其前n项和S
n
;
(Ⅱ)记
b
n
=
a
n
-
2
,若自然数η
1
,η
2
,…,η
k
,…满足1≤η
1
<η
2
<…<η
k
<…,并且
b
η
1
,
b
η
2
,…,
b
η
_
,…
成等比数列,其中η
1
=1,η
2
=3,求η
k
(用k表示);
(Ⅲ)记
c
n
=
S
n
n
,试问:在数列{c
n
}中是否存在三项c
r
,c
s
,c
t
(r<s<t,r,s,t∈N
*
)恰好成等比数列?若存在,求出此三项;若不存在,请说明理由.
5、由公差d≠0的等差数列a
1
,a
2
,…,a
n
,…组成一个数列a
1
+a
3
,a
2
+a
4
,a
3
+a
5
,…,下列说法正确的是( )
A、该新数列不是等差数列
B、是公差为d的等差数列
C、是公差为2d的等差数列
D、是公差为3d的等差数列
若{a
n
}是公差d≠0的等差数列,通项为a
n
,{b
n
}是公比q≠1的等比数列,已知a
1
=b
1
=1,且a
2
=b
2
,a
6
=b
3
.
(1)求d和q.
(2)是否存在常数a,b,使对一切n∈N
*
都有a
n
=log
a
b
n
+b成立,若存在求之,若不存在说明理由.
记公差d≠0的等差数列{a
n
}的前n项和为S
n
,已知a
1
=2+
2
,S
3
=12+3
2
.
(1)求数列{a
n
}的通项公式a
n
及前n项和S
n
;
(2)记b
n
=a
n
-
2
,若自然数n
1
,n
2
,…,n
k
,…满足1≤n
1
<n
2
<…<n
k
<…,并且b
n
1
,b
n
2
,…,b
n
k
,…成等比数列,其中n
1
=1,n
2
=3,求n
k
(用k表示);
(3)试问:在数列{a
n
}中是否存在三项a
r
,a
s
,a
t
(r<s<t,r,s,t∈N
*
)恰好成等比数列?若存在,求出此三项;若不存在,请说明理由.
关 闭
试题分类
高中
数学
英语
物理
化学
生物
地理
初中
数学
英语
物理
化学
生物
地理
小学
数学
英语
其他
阅读理解答案
已回答习题
未回答习题
题目汇总
试卷汇总
练习册解析答案