题目内容
设a为实数,函数f(x)=x2+|x-a|+1,x∈R(1)讨论f(x)的奇偶性;
(2)求f(x)的最小值.
【答案】分析:第一问考查函数的奇偶性,用特殊值法判断函数及不是奇函数又不是偶函数;第二问是求最值的题目,先判断函数的单调性再求最值.
解答:解:(1)当a=0时,函数f(-x)=(-x)2+|-x|+1=f(x)
此时,f(x)为偶函数
当a≠0时,f(a)=a2+1,f(-a)=a2+2|a|+1,f(a)≠f(-a),f(a)≠-f(-a)
此时f(x)既不是奇函数,也不是偶函数
(2)①当x≤a时,
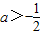
当
,则函数f(x)在(-∞,a]上单调递减,从而函数f(x)在(-∞,a]上的最小值为f(a)=a2+1.
若
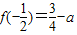
,则函数f(x)在(-∞,a]上的最小值为
,且
.
②当x≥a时,函数
若
,则函数f(x)在(-∞,a]上的最小值为
,且
若
,则函数f(x)在[a,+∞)上单调递增,从而函数f(x)在[a,+∞)上的最小值为f(a)=a2+1.
综上,当
时,函数f(x)的最小值为
当
时,函数f(x)的最小值为a2+1
当
时,函数f(x)的最小值为
.
点评:本题为函数的最值和奇偶性的考查;是高考常考的知识点之一;而求最值时需要注意的是先判断函数的单调性.
解答:解:(1)当a=0时,函数f(-x)=(-x)2+|-x|+1=f(x)
此时,f(x)为偶函数
当a≠0时,f(a)=a2+1,f(-a)=a2+2|a|+1,f(a)≠f(-a),f(a)≠-f(-a)
此时f(x)既不是奇函数,也不是偶函数
(2)①当x≤a时,
当
若
②当x≥a时,函数
若
若
综上,当
当
当
点评:本题为函数的最值和奇偶性的考查;是高考常考的知识点之一;而求最值时需要注意的是先判断函数的单调性.
练习册系列答案
相关题目