题目内容
设y=f(x)是二次函数,方程f(x)=0有两个相等的实根,且f′(x)=2x+2。
(1)求y=f(x)的表达式;
(2)求y=f(x)的图象与两坐标轴所围成图形的面积。
(1)求y=f(x)的表达式;
(2)求y=f(x)的图象与两坐标轴所围成图形的面积。
解:(1)设f(x)=ax2+bx+c,则f′(x)=2ax+b,
又已知f′(x)=2x+2,
∴a=1,b=2,
∴f(x)=x2+2x+c,
又方程f(x)=0有两个相等实根,
∴判别式Δ=4-4c=0,即c=1,
故f(x)=x2+2x+1。
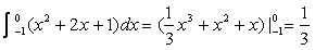
(2)依题意,有所求面积S=
。
又已知f′(x)=2x+2,
∴a=1,b=2,
∴f(x)=x2+2x+c,
又方程f(x)=0有两个相等实根,
∴判别式Δ=4-4c=0,即c=1,
故f(x)=x2+2x+1。
(2)依题意,有所求面积S=
练习册系列答案
相关题目