题目内容

求经过直线的交点M,且满足下列条件的直线方程:

(1)与直线2x+3y+5=0平行;   (2)与直线2x+3y+5=0垂直.

 

【答案】

(1);(2)

【解析】

试题分析:根据题意先求出直线的交点的坐标,根据两直线平行,则斜率相等,即可求出所求直线的方程;若两直线垂直,则斜率之积等于,即可求出所求直线的方程.

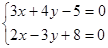
试题解析: 由题意知:联立方程组,可得到两条直线的交点的坐标为

因为所求直线与直线平行,可以设所求直线的方程为

因为过,所以,即所求直线的方程为

(2)设与垂直的直线方程为

因为过点,代入得,故所求直线方程为

考点:本题考查了直线的方程,以及两条直线的位置关系.

 

练习册系列答案
相关题目

违法和不良信息举报电话:027-86699610 举报邮箱:58377363@163.com

精英家教网