题目内容
设△ABC的内角A,B,C所对的边分别为a,b,c,若三边的长为连续的三个正整数,且A>B>C,3b=20acosA,则sinA:sinB:sinC为( )A.4:3:2
B.5:6:7
C.5:4:3
D.6:5:4
【答案】分析:由题意可得三边即 a、a-1、a-2,由余弦定理可得 cosA=
,再由3b=20acosA,可得 cosA=
,从而可得
=
,由此解得a=6,可得三边长,根据sinA:sinB:sinC=a:b:c,求得结果.
解答:解:由于a,b,c 三边的长为连续的三个正整数,且A>B>C,可设三边长分别为 a、a-1、a-2.
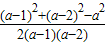
由余弦定理可得 cosA=
=
=
,
又3b=20acosA,可得 cosA=
=
.
故有
=
,解得a=6,故三边分别为6,5,4.
由正弦定理可得 sinA:sinB:sinC=a:b:c=a:(a-1):( a-2)=6:5:4,
故选D.
点评:本题主要考查正弦定理、余弦定理的应用,求出a=6是解题的关键,属于中档题.
解答:解:由于a,b,c 三边的长为连续的三个正整数,且A>B>C,可设三边长分别为 a、a-1、a-2.
由余弦定理可得 cosA=
又3b=20acosA,可得 cosA=
故有
由正弦定理可得 sinA:sinB:sinC=a:b:c=a:(a-1):( a-2)=6:5:4,
故选D.
点评:本题主要考查正弦定理、余弦定理的应用,求出a=6是解题的关键,属于中档题.
练习册系列答案
相关题目