题目内容

已知椭圆的中心在原点,一个焦点是F(2,0),且两条准线间的距离为λ(λ>4).

(Ⅰ)求椭圆的方程;
(Ⅱ)若存在过点A(1,0)的直线l,使点F关于直线l的对称点在椭圆上,求λ的取值范围.

解   (Ⅰ)设椭圆的方程为(ab>0).

由条件知c=2,且=λ,所以a2=λ,

b2=a2-c2=λ-4.故椭圆的方程是

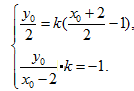
(Ⅱ)依题意,直线l的斜率存在且不为0,记为k,则直线l的方程是y=k(x-1).设点F(2,0)关于直线l的对称点为F(x0,y0),则

解得

因为点F′(x0,y0)在椭圆上,所以

λ(λ-4)k4+2λ(λ-6)k2+(λ-4)2=0.

k2=t,则λ(λ-4)t2+2λ(λ-6)t+(λ-4)2=0.

因为λ>4,所以>0.

于是,当且仅当       (*)

上述方程存在实根,即直线l存在.

解(*)得所以4<λ≤.

即λ的取值范围是4<λ≤.

练习册系列答案
相关题目

违法和不良信息举报电话:027-86699610 举报邮箱:58377363@163.com

精英家教网