题目内容

已知两个非零向量,定义|×|=||||sinθ,其中θ为的夹角.若=(-3,4),=(0,2),则|×|的值为( )
A.-8
B.-6
C.6
D.8
【答案】分析:根据给出的两向量的坐标,求出对应的模,运用向量数量积公式求两向量夹角的余弦值,则正弦值可求,最后直接代入定义即可.
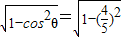
解答:解:由=(-3,4),=(0,2),所以
cosθ==,因为θ∈[0,π],所以sinθ==
所以=
故选C.
点评:本题考查了平面向量的坐标运算,解答的关键是熟记两向量的数量积公式,是新定义中的基础题.
练习册系列答案
相关题目

违法和不良信息举报电话:027-86699610 举报邮箱:58377363@163.com

精英家教网