题目内容
已知函数
,
(1)若
,求
的值;
(2)在锐角△ABC中,a,b,c分别是角A,B,C的对边;若
,△ABC的面积
,求a的值。
(1)若
(2)在锐角△ABC中,a,b,c分别是角A,B,C的对边;若
解:


,
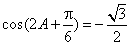
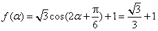
(1)
,则
,
,
∴
,
∴
。
(2)∵
,
∴
,即
,
又因为
,所以
,所以
,即
,
,
由余弦定理,得
,
解得:
(舍负),
所以
。
(1)
∴
∴
(2)∵
∴
又因为
由余弦定理,得
解得:
所以
练习册系列答案
相关题目