题目内容
设数列满足.
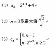
(1)求的通项公式.
(2)设,则为何值时数列取最大值.最大值为多少?
(3)设数列的前项和为,且满足,求
答案
设数列满足
(1)求数列的通项公式;
(2)令,求数列的前n项和
.(本题满分12分)
(2)设记证明:Sn<1.
(本小题满分13分) 设数列满足;
(1)当时,求并由此猜测的一个通项公式;
(2)当时,证明对所有的,
(i)
(ii)。
(本小题满分14分)
(1)用表示;并证明:;
(2)证明:是等比数列;
(3)设是数列的前项和,当时,与是否有确定的大小关系?若有,加以证明;若没有,请说明理由。
[来源:学+科+网Z+X+X+K]
(1) 求数列的通项公式;
(2) 令,求数列的前n项和