题目内容
已知函数(Ⅰ)求函数f(x)的解析式;
(Ⅱ)用定义证明函数f(x)在(0,1)上的单调性.
【答案】分析:(Ⅰ)求函数f(x)的解析式可根据函数是奇函数得出等式f(-x)=-f(x),及
建立方程,两者联立可求出函数的解析式.
(Ⅱ)用定义证明函数f(x)在(0,1)上的单调性,要设0<x1<x2<1,再f(x1)-f(x2)的符号,依据定义判断出结论即可.
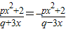
解答:解:(Ⅰ)因为f(x)是奇函数,所以对定义域内的任意x,都有∴f(-x)=-f(x),
即
(2分)
整理得q+3x=-q+3x,所以q=0.又因为
,
所以
,解得p=2.
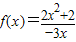
故所求解析式为
.(6分)
(Ⅱ)由(1)得
.
设0<x1<x2<1,则
.(10分)
因为0<x1<x2<1,所以0<x1x2<1,x1-x2<0,1-x1x2>0,
从而得到f(x1)-f(x2)<0,即f(x1)<f(x2).
所以函数f(x)在(0,1)上是增函数.(14分)
点评:本题 考查函数奇偶性的性质,利用函数的奇偶性建立方程求参数,这是奇偶性的一个重要应用,做对本题的关键是根据定义转化出正确的方程,利用定义法证明单调性时,要注意做题格式,及判号时要严谨.
(Ⅱ)用定义证明函数f(x)在(0,1)上的单调性,要设0<x1<x2<1,再f(x1)-f(x2)的符号,依据定义判断出结论即可.
解答:解:(Ⅰ)因为f(x)是奇函数,所以对定义域内的任意x,都有∴f(-x)=-f(x),
即
整理得q+3x=-q+3x,所以q=0.又因为
所以
故所求解析式为
(Ⅱ)由(1)得
设0<x1<x2<1,则
因为0<x1<x2<1,所以0<x1x2<1,x1-x2<0,1-x1x2>0,
从而得到f(x1)-f(x2)<0,即f(x1)<f(x2).
所以函数f(x)在(0,1)上是增函数.(14分)
点评:本题 考查函数奇偶性的性质,利用函数的奇偶性建立方程求参数,这是奇偶性的一个重要应用,做对本题的关键是根据定义转化出正确的方程,利用定义法证明单调性时,要注意做题格式,及判号时要严谨.
练习册系列答案
相关题目