题目内容
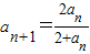
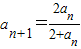
数列{an}中,
【答案】分析:由递推公式
得到a2,a3,a4…观察得到an
解答:解:因为a1=1,
可得a2=
,a3=
=
,a4=
,…,
归纳得到an=
,
故答案为:
点评:本题主要考查利用归纳法求数列的通项公式,要注意规律,灵活运用公式,熟练变形是解题的关键
解答:解:因为a1=1,
可得a2=
归纳得到an=
故答案为:
点评:本题主要考查利用归纳法求数列的通项公式,要注意规律,灵活运用公式,熟练变形是解题的关键
练习册系列答案
相关题目