题目内容
已知数列{an}中,a1=3,a2=5,其前n项和Sn满足Sn+Sn-2=2Sn-1+2n-1(n≥3),令
,
(1)求数列{an}的通项公式;
(2)若f(x)=2x-1,求证:
(n≥1)。
(1)求数列{an}的通项公式;
(2)若f(x)=2x-1,求证:
解:(1)由题意知
,
即
,
∴
,
检验知
、
时,结论也成立,故
。
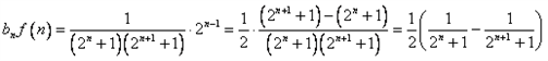
(2)由于
,
故
。
即
∴
检验知
(2)由于
故
练习册系列答案
相关题目
已知数列{an}中,a1=1,2nan+1=(n+1)an,则数列{an}的通项公式为( )
A、
| ||
B、
| ||
C、
| ||
D、
|